鹤山市人民政府
桥都中国

国徽

鹤山市人民政府

走进鹤山 政务动态 政务公开 政民互动 领导之窗 工作机构 政务服务 视频鹤山
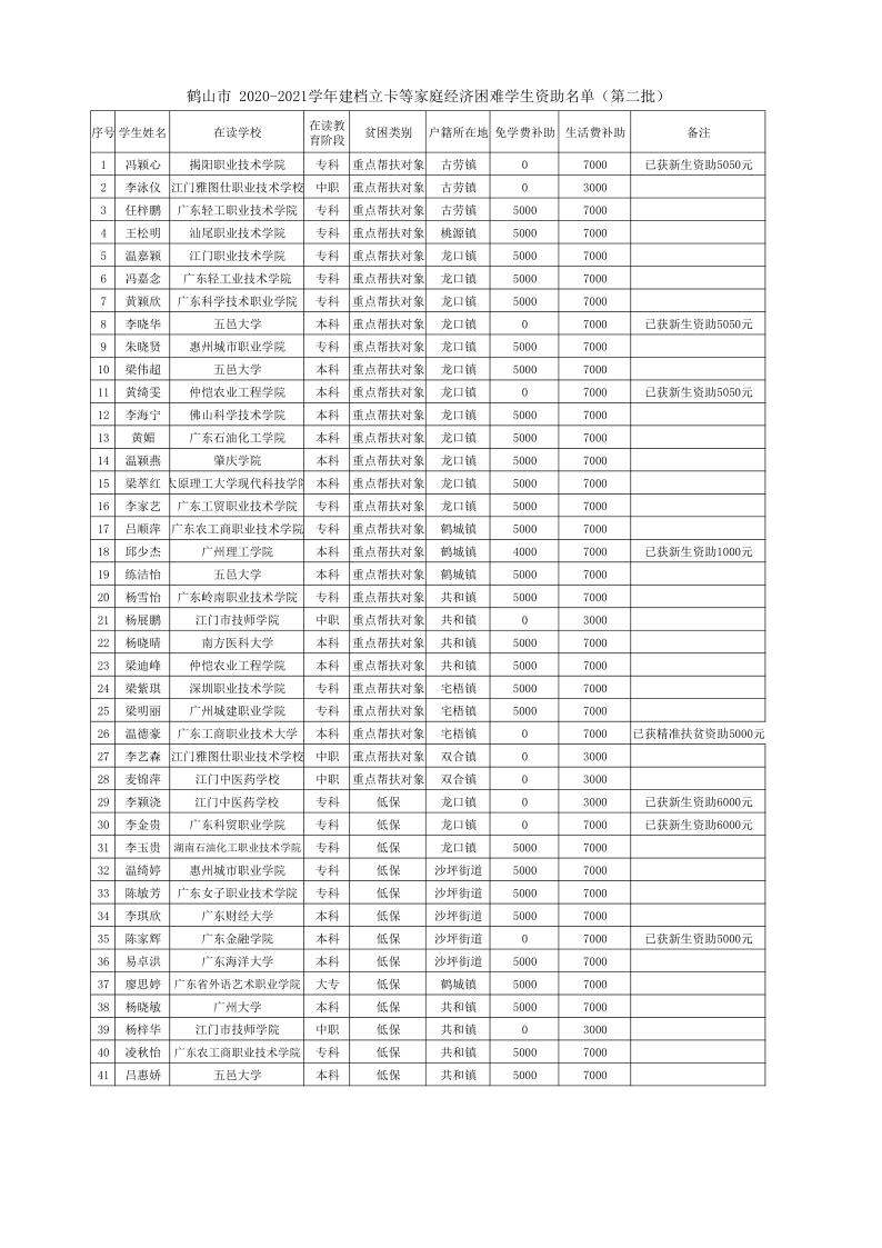
鹤山市 2020-2021学年建档立卡等家庭经济困难学生资助名单(第二批)公示
【字体: 】【 打印】 【 关闭
分享到:

  根据《江门市建档立卡家庭经济困难学生精准资助工作实施方案》(江教发字﹝2018﹞1号)的文件精神,从2016年秋季学期起,实施对就读义务教育阶段、高中阶段和全日制专科教育阶段的建档立卡等贫困户子女免学费并给与生活费补助政策。2020年秋季因疫情影响,不少高校延迟开学,致使部分符合条件的学生未能如期取得学校核实情况证明获得资助。市扶贫开发办公室、市民政局按照相关文件要求,组织各镇(街)相关部门进行了摸底核查,市教育局核对了学生的学籍和相关资助信息,最后经市扶贫开发办公室、市民政局和市教育局审核认定。现将《鹤山市 2020-2021学年建档立卡等家庭经济困难学生资助名单》(第二批)向社会公示(名单附后)。

  公示时间:2021年6月 11日—6月17日。

  如对公示名单有异议,请在公示期间提供可靠材料向鹤山市教育局学生资助管理中心反映,过期不再受理。我市自2014年9月起对高中阶段残疾学生已实施免学费补助,故非建档立卡残疾的普通高中全日制学生资助名单未纳入本次公示范围。


  附件: 鹤山市 2020-2021学年建档立卡等家庭经济困难学生资助名单(第二批)


(联系人:李老师;联系电话:8938620;邮箱:zzzx@heshan.gov.cn)


鹤山市教育局

2021年6月11日




附件:

鹤山市 2020-2021学年建档立卡等家庭经济困难学生资助名单(第二批) - 副本_1.jpg